Revista Facultad Nacional de Agronomía Medellín
0304-2847
2248-7026
Facultad de Ciencias Agrarias - Universidad Nacional de Colombia
https://doi.org/10.15446/rfnam.v74n3.90820

Recibido: 18 de febrero de 2021; Aceptado: 9 de julio de 2021

Physical, physiological, physicochemical and nutritional characterization of pumpkin ( Cucurbita maxima) in postharvest stage cultivated in Antioquia-Colombia

Caracterización física, fisiológica, fisicoquímica y nutricional de la auyama (Cucurbita maxima) en la etapa de postcosecha cultivada en Antioquia-Colombia

C. Márquez Cardozo, 1 D. Molina Hernández, 1 B. Caballero Gutiérrez, 1 H. Ciro Velásquez, 1 D. Restrepo Molina, 1 G. Correa Londoño, 1

Facultad de Ciencias Agrarias. Universidad Nacional de Colombia, Medellín, Colombia. cjmarque@unal.edu.co, dmolinah@unal.edu.co, blcaballerog@unal.edu.co, hjciro@unal.edu.co, darestre@unal.edu.co, gcorrea@unal.edu.co. Universidad Nacional de Colombia Facultad de Ciencias Agrarias Universidad Nacional de Colombia Medellín Colombia

ABSTRACT

Pumpkin (Cucurbita maxima), also called squash is a mass consumption fruit used in agro-industrial transformations to obtain new food products. This study aimed to evaluate the physical, physiological and physicochemical properties during a storage period of 42 days and the nutritional compounds of the freshly harvested fruit fractions. According to the CIEL*a*b* space, both the pulp and peel did not present significant changes in L* and a* values during the evaluated storage time; however, in the peel, a change in the b* values was evidenced. In addition, there was a decrease in the firmness of 10.8% in the fruit with peel and in the pulp, it was of 19.8% was observed, with a whole fruit weight loss of 2.33% and an average respiration rate of 6.9 mg CO2 kg-1h-1. According to physicochemical characteristics evaluated in the pulp, the values of pH, percentage of humidity, acidity, water activity and total soluble solids had no statistically significant changes occurred during the storage time. At the nutritional level, pumpkin is a good source of minerals, with a high concentration of potassium in all its fractions, and also has in total carotenoids (4.11±1.6 mg of β-carotene g-1 oven dry (o.d) in pulp and 6.24±2.7 mg of β-carotene g-1 (o.d) in peel ). It was possible to conclude that the pumpkin has a low respiration rate, maintaining its physicochemical characteristics suitable for consumption throughout the evaluation period, presenting suitable conditions.

Keywords:

Color coordinates, Firmness, Respiratory rate, Total carotenoids.

RESUMEN

La calabaza (Cucurbita maxima), también llamada auyama es una fruta de consumo masivo, utilizada en transformaciones agroindustriales para la obtención de nuevos productos alimenticios. Este estudio tuvo como objetivo evaluar las propiedades físicas, fisiológicas y fisicoquímica durante a un periodo de almacenamiento de 42 días y nutricionales de las fracciones del fruto recién cosechado. Para las coordenadas del color CIEL*a*b*, los valores de L* y a* tanto para la pulpa y cáscara no presentaron cambios significativos durante el tiempo de almacenamiento evaluado, pero sí presentó cambios en los valores de b* en la cáscara del fruto. Además, se observó una disminución en la firmeza-fuerza de 10,8% en el fruto con cáscara y en la pulpa de 19,8%, con una pérdida peso de fruto entero del 2,33% y una tasa de respiración promedio de 6,9 mg CO2 kg-1 h-1. De acuerdo a las características fisicoquímicas evaluadas en la pulpa del fruto, pH, porcentaje de humedad, acidez, actividad de agua y sólidos solubles totales no se presentaron cambios estadísticamente significativos durante el tiempo de almacenamiento. A nivel nutricional la auyama es una buena fuente de minerales, destacando la alta concentración de potasio en todas sus fracciones, y también en carotenoides totales (4,11 mg de β-caroteno g-1 (b.s.) en la pulpa y 6,24 mg de β-caroteno g-1 base seca (b.s.) en la cáscara). El fruto vegetal de la auyama bajo condiciones normales de almacenamiento presenta una baja tasa de respiración manteniendo sus características fisicoquímicas aptas para el consumo durante todo el periodo de evaluación, presentando condiciones adecuadas para el desarrollo de productos agroindustriales que permitan darle valor agregado durante el período de evaluación.

Palabras clave:

Coordenadas de color, Firmeza, Tasa de respiración, Carotenoides totales.

Pumpkin (Cucurbita sp.) is a mass consumption fruit in Colombia and throughout the world. In this country, it occupies a planted area of 6820 ha, and a production that in 2017 was of 92180 t and a yield of 13.51 t ha-1. For the year 2018, in the department of Antioquia, the harvested area was 100 ha, with a production of 1200 t and a yield of 12.0 t ha-1, being the municipality of Dabeiba the largest producer with 65 ha cultivated (Agronet, 2018). Its importance in the diet has generated interest in improving it genetically, achieving better yields, and in the quality of the pulp (Valdés et al., 2014).

The Cucurbita sp. species has diverse genera and abundant cultivars, with variable shape, size, and color, in addition to different levels of resistance to diseases. It is widely cultivated in South America and the United States (Rodríguez et al., 2018). Pumpkin corresponds to a crop of American origin developed under varied environmental and climatic conditions, existing from 100 to 3000. Currently, 118 genera and 825 species have been found around the world (Sohail et al., 2018).

Pumpkin, a transitory dicotyledonous fruit, has cylindrical or penta-angular stems, with petioles of 12 to 30 cm; the leaves are circular, heart-shaped, with dimensions of about 20 cm long and 30 cm wide; the yellow flowers are bell-shaped, with five lobes and up to 12 cm long. The peduncle is strong with, a rounded penta-angular base and a large apex. The fruits are round, flattened, oval, oblong or pear-shaped, with varied ribs, between 15 and 60 cm in diameter, and with weights between 2 and 45 kg. It is characterized by its climbing or creeping habit, presence of tendrils, unisexual and showy flowers, entomophilic pollination, annual or perennial vegetative cycle, herbaceous, and usually monoecious plants, but there are also andromonoic and dioecious (Rodríguez et al., 2018). Its pulp is intensely yellow, orange, pale green, or white, and the hollow center contains loose pulpy fibers and numerous oval, flat, white to brown seeds with fine skin, irregular margins, and a fleshy grain (Caseres et al., 2010).

Pumpkin corresponds to one of the most consumed fruit since, it is important in food, medicine, as a raw material for agribusiness it is used for the manufacture of oils, and dehydrated products, and also for the extraction of phytochemicals compounds such as carotenoids. It has a high volume of production, around 20 to 30 kg plant-1, and its cultivation is associated with small and medium farmers from many warm and temperate areas of the world (Rodríguez et al., 2018).

Pumpkin is a weather-tolerant crop. The fruits are subject to changes in the postharvest stage, such as an increase in enzymatic activity and a decrease in dry matter. However, they are commercially stored outdoors and at room temperature. Some investigations have reported an increase in total soluble solids, a decrease in acidity, beta carotenes and ascorbic acid during storage in environmental conditions of 29±2 °C and 83±7% relative humidity (Nansikombi et al., 2019). These losses reduce the income of medium and small producers, and they occur due to poor postharvest handling, lack of collection centers, inappropriate transportation, poor packaging and storage (Asohofrucol, 2012).

The aim of this study was to evaluate the physical, physiological, physicochemical, and nutritional characteristics of postharvest pumpkins grown in the municipality of Dabeiba, Antioquia, Colombia, where the phenotypic conditions of the crops adapted to this area make them have specific properties that can be used for the agro-industrial transformation and the development of the region.

MATERIALS AND METHODS

Fruit samples

Pumpkin fruits (Cucurbita maxima) were harvested in the municipality of Dabeiba (Antioquia/Colombia), with a physiological or harvest maturity index of 99±17, corresponding to the ratio of total soluble solids on the percentage of acidity at 0 day of postharvest. Figure 1 shows the appearance of the fruit and its inner aspect. The pumpkin was selected according to physical aspects, especially green color, shape and weight. A total of 42 experimental units were used, consisting of a completely random design. The experimental phase was developed in the Fruit and Vegetable Laboratory of the Universidad Nacional de Colombia Medellín campus under environmental conditions of 65±10% RH and 23±4°C.

Aspect of pumpkin fruit (Cucurbita maxima) used in the study.

Figure 1: Aspect of pumpkin fruit (Cucurbita maxima) used in the study.

Physical characteristics

The color determination was measured with a sphere spectrophotometer (model SP60, X-RITE Inc., MI, USA), with an aperture of 4 mm, illuminant D65, and a 10° observer as a reference. From the reflection spectra, the color coordinates of the CIEL*a*b* system were obtained, where L* is an indicator of luminosity, a* represents the chromaticity green (-) to red (+) and b* represents blue (-) to yellow (+) chromaticity. For the epidermis and fresh pulp color, the measurements were made at three reference points on the external surface of the fruit, for a total of six experimental units per day, during 42 days, for days 0, 7, 14, 21, 28, 35 and 42 of postharvest (Thole et al., 2020). The browning index (BI) was calculated using CIEL*a*b* coordinates by Equations 1 and 2 (Maskan, 2001):

X is the ratio of the color coordinates L*, a*, b* as follows:

Weight, volume, equatorial and polar diameter were measured both for the whole fresh fruit. For each experimental unit, polar diameter measurements were made from the base to the apex of the fruit and the equatorial diameter using a digital Vernier caliper (resolution of 0.01mm), according to methodology proposed by Rodríguez (2018). The pycnometer method was used for the volume.

Physiological characteristics

Respiration rate was evaluated by measuring the carbonic gas production of the fruit by means of the respirometer technique, using the Petenkoffer chemical method. This value was calculated by the use of stoichiometry and expressed in mg of CO2 kg-1 h-1. For the physiological weight loss expressed as a percentage, 6 fruits were stored at 65±10% RH and 23±4 °C, and were followed up during the evaluation period of 42 days, assessing the daily weight and comparing it with the weight of the initial day (0 day).

For the firmness measurement, unidirectional compression tests were applied using a cylindrical stainless-steel probe of 5 mm diameter, under a loading rate of 2 mm s-1, with a penetration depth of 10 mm. The equipment used consisted of a TA-XT2i® texture analyzer and the Texture Expert Exceed software, Version 2.64 Stable Micro Systems (Labaky et al., 2020). The measurements were made in the equatorial region of the fruit, recording the resistance to penetration during 42 days of storage.

Physicochemical characteristics of the pumpkin fruit during storage

The acidity value was obtained by means of potentiometric titration, where the results were expressed as a percentage of citric acid (Equation 3). The pH was determined with a Schott model CG-840B equipment at 25 °C. The evaluation of the total soluble solids (TSS) was carried out using the Leica auto ABBE refractometer with a scale of 0-32% at 25 °C, and the results were expressed as degrees Brix (°Bx). The moisture percentage was determined with an infrared lamp equipment (Sartorius, MA150). In addition, the water activity (aw) was measured with a 25 °C dew point hygrometer (Aqua LAB Decagon series 3TE) (Marquez and Valenzuela, 2012).

Nutritional composition of the pulp, seed and peel

The proximal analysis in each part of the fruit (pulp, seed and peel) was performed, by processing a total number of six fruits. The ash content was determined by means of the gravimetric method in muffle at 500-550 °C until constant weight according to AOAC-923.03 (2005). The fat content was determined by means of the Soxhlet extraction method using, petroleum ether as a solvent (AOAC-920.39, 1990), the total dietary fiber (AOAC-985.29/90), the nitrogen content was obtained by volumetric method (Kjeldahl method) (AOAC-955.04/90), the carbohydrate content in the fruit by difference according to % CHO = 100 - (% Moisture + %Ashes + %Proteins + %Fat + %Total Dietary Fiber) expressed in g 100-1 g-1 edible part wet base (w.b). The content of some minerals such as Ca, Mg, Na, Fe, Cu, Mn, and Zn was measured by atomic absorption spectrophotometry according to NTC 5151 (2003). The quantification of total carotenoids was determined by spectrophotometry of the solution at 450 nm and Sigma-Aldrich St. Louis, MO, USA β-carotene was used as standard, according to the modified methodology of Biswas et al. (2011). Three extractions were performed for each repetition of the treatment, expressed in mg of β- carotene g-1 oven dry (o.d).

RESULTS AND DISCUSSION

Physical characteristics

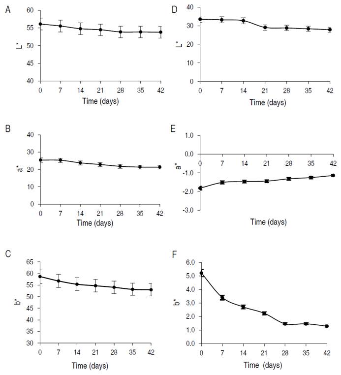
Figure 2 shows the results of the CIEL*a*b* color coordinates with L*=56.08±3.49; a*=25.39±2.18 and b*=58.67±5.41 as average values for the pulp for 42 days of storage, while the peel presented average coordinates of L*=33.50±3.28; a*=-1.81±1.76 and b*=5.21±3.88. This result denotes that the pulp is located in the universe of orange tones, while the peel presented green and blue tones, similar results were found by Saini et al. (2015).

CIEL*a* b* color coordinates for pumpkin pulp (Cucurbita maxima) (A, B and C) and for peel (D, E and F), for 42 days. L*: CIE color space coordinate degree of luminosity, a*: CIE color space coordinate degree of green-red and b*: CIE color space coordinate degree of blue-yellow. The symbols represent the mean and the vertical bars the standard error for n=6.

Figure 2: CIEL*a* b* color coordinates for pumpkin pulp (Cucurbita maxima) (A, B and C) and for peel (D, E and F), for 42 days. L*: CIE color space coordinate degree of luminosity, a*: CIE color space coordinate degree of green-red and b*: CIE color space coordinate degree of blue-yellow. The symbols represent the mean and the vertical bars the standard error for n=6.

The color coordinate L* corresponds to the luminosity for both pulp and peel, where this characteristic does not show significant differences during the 42 days of storage regarding the 0 day of postharvest. However, in other fruits, significant changes have been found in their postharvest stage for luminosity in both pulp and peel, due to enzymatic type reactions developed by the presence of the group of polyphenol oxidase enzymes, that in the presence of phenolic substrates and oxygen trigger a series of reactions, affecting the luminosity of the fruit (Piedra, 2017).

In the pulp, the a* and b* values tend to orange tones, typical of carotenoid-type pigments, most likely β-Carotenes, precursor molecules of vitamin A. This behavior was consistent during the evaluation period, affirming that the pigments responsible for this tonality did not present significant differences with respect to the 0 day of postharvest, which agrees with other authors (Jaeger et al., 2012). For the peel, the b* coordinate, corresponding to chlorophyll pigments of type b associated with the dark green color, showed a significant and continuous decrease throughout the postharvest period, while the a* coordinate showed significant differences during the postharvest period. Consequently, the dark green of the fruits decreased, and this is associated with the decrease in the concentration of chlorophyll b, due to the enzymatic activity of chlorophylases hydrolyzing this molecule to chlorophyllide and phytol (Vargas-Madriz et al., 2019).

Figure 3 shows the browning index (BI) for pumpkin pulp and peel, which is most likely associated with the activity of polyphenol oxidase enzymes in the presence of phenolic substrates and oxygen (Marquez and Valenzuela, 2012). For both pulp and peel during the evaluation period, there were no significant differences during the evaluation period. However, the BI for the pulp was significantly higher than that of the peel, a situation that may be due to the higher enzymatic activity and the higher concentration of carotenoid-type pigments present in this fraction of the fruit (Uscanga et al., 2019).

Browning index of pumpkin pulp (A) and peel (B) (Cucurbita maxima), stored for 42 days at 65± 10 % RH and 23± 4 °C. The symbols represent the mean and the vertical bars the standard error for n=6.

Figure 3: Browning index of pumpkin pulp (A) and peel (B) (Cucurbita maxima), stored for 42 days at 65± 10 % RH and 23± 4 °C. The symbols represent the mean and the vertical bars the standard error for n=6.

Table 1 shows the characteristic dimensions of the pumpkin at 0 day of evaluation, indicating that the description of the morphology of the fruits are elliptical, due to the fact that the equatorial diameter is greater than the polar diameter. These results are similar to those reported by Caseres et al. (2010).

Table 1: Characteristic dimensions of the entire pumpkin fruit (Cucurbita maxima)

Physiological characteristics

In Figure 4A, the maximum respiratory values were detected between days 0 and 8, probably because of the increase in mitochondrial activity and the great availability of carboxylates as substrate, combined with the degradation of starch, by enzymatic action and the formation of some low molecular weight carbohydrates (Marquez and Valenzuela, 2012). From day 8 to day 20, an accelerated decrease in CO2 production was observed until an asymptotic behavior was evidenced over time, which is related to the states of physiological maturity as maturity (Suarez et al., 2016). The maximum respiration value was 11 mg CO2 kg-1 h-1, typical of non-climacteric fruits, which is consistent with that reported by other investigations (Marquez and Valenzuela, 2012).

Respiration rate (A) and weight loss (B) of accumulated weight (%) of pumpkin (Cucurbita maxima) during a period of 42 days, n=6

Figure 4: Respiration rate (A) and weight loss (B) of accumulated weight (%) of pumpkin (Cucurbita maxima) during a period of 42 days, n=6

Regarding the physiological weight loss presented in Figure 4B, it was possible to identify a continuous weight loss behavior during the entire postharvest stage. The period with the greatest quantity is that between days 0 and 14 of evaluation: the highest mass transfer (water) took place between the interior of the fruit and the external conditions of the storage environment until the hygroscopic equilibrium was reached, finding an average total loss of 2.33±0.05%. This aspect is favorable for this fruit, since it could present a low degree of deterioration during the storage period, similar to study performed by Suarez et al. (2016) using cucumber (Cucumis sativus L).

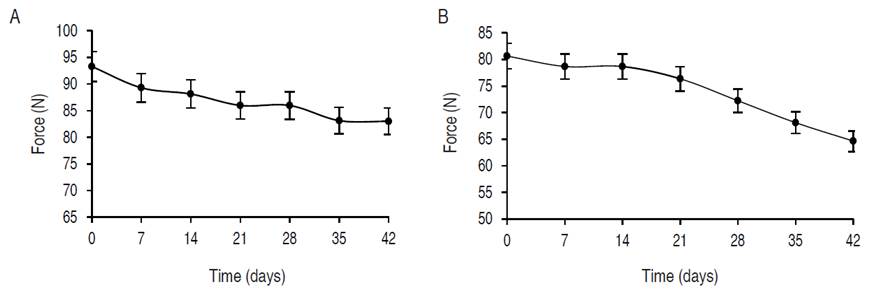
Figure 5 presents the variation of the firmness of pumpkin with peel and without peel during the storage period. The firmness of the pumpkin presented variability during the storage time. For the day 0, it was found that the whole fruit with peel presented an average penetration force of 93.29±5.85 N and for fruit without peel, that value is 80.62±6.52 N, showing a higher resistance to penetration in fruits with peel. This is due to materials such as cellulose, hemicellulose, lignin and other high molecular weight polysaccharides that make up the peel (Bemfeito et al., 2020). In the pulp, a slightly more accelerated decreasing behavior was found than that in the peel, showing a significant difference between 0 day and 42 days, with average values in the fruit with peel of 83±0.64 N and 64.63±3.65 N without peel. It is, probably related to changes at the cell wall level because of the hydrolysis of pectic compounds by the action of the Pectin Methyl Esterase (PME), polygalacturonase and cellulase enzymes, which, in turn, decompose high molecular weight polymers, such as cellulose and hemicellulose, and obtaining the loss of cellular turgor, as a final result (Africano-Pérez et al., 2016).

Firmness force for pumpkin fruits (Cucurbita maxima) with peel (A) and without peel (pulp) (B) stored during 42 days. The symbols represent the mean and the vertical bars the standard error for n=6.

Figure 5: Firmness force for pumpkin fruits (Cucurbita maxima) with peel (A) and without peel (pulp) (B) stored during 42 days. The symbols represent the mean and the vertical bars the standard error for n=6.

Physical-chemical characteristics of the pumpkin fruit during storage

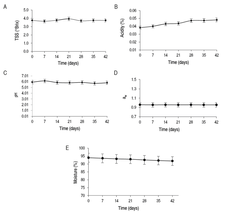
Figure 6 shows the variation of the main physical-chemical characteristics that are related to the quality of pumpkin fruits. These results show not statistically significant differences regarding the 0 day of postharvest. Values obtained for the physical-chemical characteristics are similar to those reported by other investigations (Ziaul et al., 2019).

Total soluble solids (A), percentage of acidity (B), pH (C), water activity aw (D) and percentage of moisture (E), for pumpkin pulp (Cucurbita maxima) during a storage period of 42 days, n= 6.

Figure 6: Total soluble solids (A), percentage of acidity (B), pH (C), water activity aw (D) and percentage of moisture (E), for pumpkin pulp (Cucurbita maxima) during a storage period of 42 days, n= 6.

At 0 day, the pumpkin pulp showed acidity values of 0.038±0.003%, expressed as citric acid, pH of 5.92±0.29, TSS of 3.76±0.73 °Bx, aw of 0.96±0.004 and a moisture content of 92.63±2.19%. Any of the samples evaluated had significant changes over time, showing a high moisture content and water activity, which refers to free or available water within the food (Ramírez and Villa, 2015). The fruit is protected thanks to the high level of firmness of the peel and therefore, presents natural barriers to the attack of microorganisms, probably due to some phytochemical substances found in the shell and present defense against microorganisms, especially against fungi and yeasts. However, the plant must be protected from physical alterations caused by impacts or presence of mechanical forces during the handling and transportation of the product (Marquez and Valenzuela, 2012).

Nutritional composition of the pulp, seed and peel

The nutritional composition in each of the parts of the pumpkin fruit is shown in Table 2. As in many other foods of plant origin, the nutritional content depends on the variety, the climatic conditions where they are grown, the state of maturity and the agronomic handling of the plantation. In the C.maxima pulp, a moisture content (>84%) and low concentrations of carbohydrates (13.3%), protein (0.11%), fat (0.04%), fiber (0.11%) and ash (0.10%) were reported by Mi et al. (2012). In terms of minerals, the content of potassium was predominant among all the elements analyzed in the pumpkin pulp, seed and peel. According to Kulczynski and Gramza (2019), there is a region/climate correlation effect on this mineral in pumpkins. Some authors report significant concentrations of β-carotene and α-carotene in pumpkin pulp (Rodríguez et al., 2018; Valdés et al., 2014). Also report β-carotene concentrations in C.pepo and C.mochata between 4.58±2.27 and 2.92±1.44 mg 100-1 g-1 o.d, respectively (Kulczynski and Gramza, 2019). In some species, 171 to 461 μg g-1 o.d of the fresh product is found mostly in the fruit peel (Mi et al., 2012).

Table 2: Nutritional composition of the pulp, seed and peel of the pumpkin (Cucurbita maxima)

CONCLUSIONS

Pumpkin fruits in this study had a low respiration rate, preserving the physiological and physicochemical characteristics throughout the 42 days evaluated. The total weight loss of the pumpkin fruits during the evaluation period was 2.33%, and the peel fruit firmness was 10.8%, an aspect that provides quality commercial to the product, making it suitable for human consumption and agro-industrial transformation.

According to the nutritional composition evaluated, pumpkin fruit adapted to the climatic conditions of the Dabeiba-Colombia region is considered a good source of total carotenoids and potassium in all of their fractions, and they have low concentrations of carbohydrates and fat in the pulp.

Acknowledgements

ACKNOWLEDGEMENTS

The authors want to thank to "Patrimonio Autónomo Fondo Nacional de Financiamiento para la Ciencia y la Innovación Francisco José de Caldas - COLCIENCIAS" - MinCiencias for the economic funding of this research, 776-2017 announcement, to the Universidad Nacional de Colombia - Medellín campus for facilitating the use of equipment during the experimental phase, especially to the Laboratories: Fruits and Vegetables, Agricultural Processes Engineering and Soils.

REFERENCES

  1. Africano-Pérez K, Balaguera-López H, Almanza-Merchán P, Cárdenas-Hernández J y Herrera-Arévalo A. 2016. Caracterización poscosecha del fruto de durazno [Prunus persica (L.) Batsch] cv. Dorado producido bajo condiciones de trópico alto. Revista Colombiana de Ciencias Hortícolas, 10(2), 232-240. https://doi.org/10.17584/rcch.2016v10i2.5212 [URL] 🠔
  2. AOAC- 985.29. 1990. Official methods of analysis of the Association of Official Analytical Chemists. 2 vol. 15th ed. Washington, DC 🠔
  3. AOAC- 955.04. 1990. Official methods of analysis of the Association of Official Analytical Chemists. 2 vol. 15th ed. Washington, DC 🠔
  4. AOAC-920.39. 1990. Official methods of analysis of the Association of Official Analytical Chemists. 2 vol. 15th ed. Washington, DC 🠔
  5. AOAC-923.03. 2005 Official Methods of Analysis of AOAC. International (18th ed.; H. W, ed.). Virginia, USA: AOAC International: Association of Official Analytical Chemists, InC. 🠔
  6. Agronet. 2018. Área, producción, rendimiento y participación municipal en el Departamento por cultivo ahuyama, 2012-2018. https://www.agronet.gov.co/estadistica/Paginas/home.aspx?cod=4 [URL] 🠔
  7. Asohofrucol- Asociacion Horticola y Fruticola de Colombia. 2012. Plan Nacional de Fomento Hortifruticola 2012-2022. Ministerio de Agricultura y Desarrollo Sostenible. Bogotá. 🠔
  8. Bemfeito C, Carneiro J, Carvalho E, Coli P, Pereira R, and Boas E. 2020. Nutritional and functional potential of pumpkin (Cucurbita moschata) pulp and pequi (Caryocar brasiliense Camb.) peel flours. Journal of Food Science and Technology: 1-6. https://doi.org/10.1007/s13197-020-04590-4 [URL] 🠔
  9. Biswas A, Sahoo J and Chatli M. 2011. A simple UV-Vis spectrophotometric method for determination of B-carotene content in raw carrot, sweet potato and supplemented chicken meat nuggets. LWT - Food Science and Technology 44(8): 1809-1813. https://doi.org/10.1016/j.lwt.2011.03.017 [URL] 🠔
  10. Caseres E, Piña K, Berrío T and Leal N. 2010. Comparación morfológica de frutos y semillas de calabaza (Cucurbita moschata Duch . ex Lam ). Revista Unell de Ciencia y Tecnología 28: 32-36. http://revistas.unellez.edu.ve/index.php/ruct/article/view/142 [URL] 🠔
  11. Jaeger L, Barros P, Oliveira R, Pacheco S, Fernandes P, Carvalho J, Nutti M, Lima A, Rodrigues A and Ramalho S. 2012. Total carotenoid content, α-carotene and β-carotene, of landrace pumpkins (Cucurbita moschata Duch): A preliminary study. Food Research International 47. https://doi.org/10.1016/j.foodres.2011.07.040 [URL] 🠔
  12. Kulczynski B and Gramza A. 2019. The profile of secondary metabolites and other bioactive compounds in Cucurbita Pepo L. And Cucurbita Moschata pumpkin cultivars. Molecules 24(16): 1-22. https://doi.org/10.3390/molecules24162945 [URL] 🠔
  13. Labaky P, Grosmaire L, Ricci J, Wisniewski C, Louka N and Dahdouh L. 2020. Innovative non-destructive sorting technique for juicy stone fruits: textural properties of fresh mangos and purees. Food and Bioproducts Processing 123: 188-198. https://doi.org/10.1016/j.fbp.2020.06.013 [URL] 🠔
  14. Márquez C, and Valenzuela J. 2012. Physico-chemical properties of the soursop fruit (Annona muricata L. cv. Elita) in postharvest. American Society of Agricultural and Biological Engineers. ASABE - Annual International Meeting. https://doi.org/10.13031/2013.41985 [URL] 🠔
  15. Maskan M. 2001. kinetics of color change of kiwifruits during hot air and microwave drying. Journal of Food Engineering 48(2):169-175. https://doi.org/10.1016/S0260-8774(00)00154-0 [URL] 🠔
  16. Mi Y, Eun J, Young-Nam K, Changsun C and Bo-Hieu L. 2012. Comparison of the chemical compositions and nutritive values of various pumpkin (Cucurbitaceae) species and parts. Nutrition Research and Practice 6(1): 21-27. https://doi.org/10.4162/nrp.2012.6.1.21 [URL] 🠔
  17. Nansikombi N, Muyonga J and Byaruhanga Y. 2019. Association between Fruit Characteristics and Postharvest Stability of Different Pumpkin (Cucurbita) Species. Journal of Food Research 8(4): 131. https://doi.org/10.5539/jfr.v8n4p131 [URL] 🠔
  18. NTC 5151. 2003 Norma Técnica Colombiana. Normas Técnicas Colombianas, Vol. 02 pp. 1-5. Bogotá, Colombia: Icontec. 🠔
  19. Ortiz S, Valdés M, and Vallejo F. 2020. Efecto de la endocría sobre habilidad combinatoria del rendimiento y calidad en zapallo (Cucurbita moschata Duchesne). Revista U.D.C.A Actualidad & Divulgación Científica 23(1):10 https://doi.org/10.31910/rudca.v23.n1.2020.1176 [URL] 🠔
  20. Piedra F. 2017. Control del pardeamiento enzimático en manzanas cortadas (Red delicious) mediante un sistema de envasado activo. Enfoque UTE 8(2): 66- 77. https://doi.org/10.29019/enfoqueute.v8n2.158 [URL] 🠔
  21. Ramírez E and Villa Quisbert A. 2015. Obtaining Pumpkin Flour by the Drying Process of Food. Ventana Científica 5(9): 1-17 🠔
  22. Rodríguez R, Valdés M and Ortiz S. 2018. Características agronómicas y calidad nutricional de los frutos y semillas de zapallo Cucurbita sp. Revista colombiana de ciencia animal recia 10(1): 86-97. https://doi.org/10.24188/recia.v10.n1.2018.636 [URL] 🠔
  23. Saini R, Nile H and Park S. 2015. Carotenoids from fruits and vegetables: Chemistry, analysis, occurrence, bioavailability and biological activities. Food Research International 76: 735-750. https://doi.org/10.1016/j.foodres.2015.07.047 [URL] 🠔
  24. Sohail A, Abbasi K, Arif M and Najam F. 2018 Encapsulation of pumpkin seed oil in alginate capsules. Pakistan Journal of Agricultural Research 32(1): 20-27. https://doi.org/10.17582/journal.pjar/2019/32.1.20.27 [URL] 🠔
  25. Suárez E, Peña S, Restrepo D, Ruiz K and Sánchez S. 2016. Efecto del sistema de producción en la maduración fisiológica de Cucurbita moschata var. bolo verde. Biotecnología en el Sector Agropecuario y Agroindustrial 14(2): 29-37. https://doi.org/10.18684/BSAA(14)29-37 [URL] 🠔
  26. Thole V, Vain P, Yang R, Almeida J, Enfissi E, Nogueira M and Hanson P. 2020. Analysis of Tomato Post‐Harvest Properties: Fruit Color, Shelf Life, and Fungal Susceptibility. Current protocols in plant biology 5(2): e20108. https://doi.org/10.1002/cppb.20108 [URL] 🠔
  27. Uscanga D, Pérez M, Hernández A, Herrera J, Gómez F and Contreras A. 2019. Efecto de antioxidantes y pH en la calidad y actividad de la polifenol oxidasa de berenjena (Solanum melongena l.) mínimamente procesada. Agrociencia 53(2): 175-189. https://agrociencia-colpos.mx/index.php/agrociencia/article/view/1777 [URL] 🠔
  28. Valdés Restrepo M, Ortiz Grisales S, Vallejo Cabrera F and Baena García D. 2014. Variabilidad en frutos y semillas de Cucurbita moschata Duch. y Cucurbita argyrosperma subsp. sororia L.H. Bailey Merrick & D.M. Bates. Acta Agronómica 63(3): 282-293. https://doi.org/10.15446/acag.v63n3.41052 [URL] 🠔
  29. Vargas-Madriz, H., Barrientos-Martínez, A., Cruz-Alvarez, O., Martínez-Damián, M. T., and Talavera-Villareal, A. 2019. Physicochemical quality parameters in guava fruit with presence of larvae of Conotrachelus dimidiatus (Champion) (Coleoptera: Curculionidae). Revista Chapingo Serie Horticultura 25(2). https://doi.org/10.5154/r.rchsh.2018.10.019 [URL] 🠔
  30. Ziaul A, Islam T, Rasel U, Jashim U, Mashiar R and Abdus S. 2019. Comparative study on nutrient contents in the different parts of indigenous and hybrid varieties of pumpkin (Cucurbita maxima Linn.). Heliyon 5(9). E02462 https://doi.org/10.1016/j.heliyon.2019.e02462 [URL] 🠔